المقررات المتاحة

فيزياء الصف الأول الثانوي الفصل الدراسي الأول
فيزياء الصف الأول الثانوي
الانضمام عند الدفع المالي

  • الكميات الفيزيائية و عناصر القياس
  • الوحدات المعيارية و القدمة ذات الورنية
  • صيغة الأبعاد - العلاقات الرياضية و معادلات الأبعاد
  • القياس الفيزيائي و استنتاج معادلات الأبعاد
  • أنواع القياس و خطأ القياس و حساب الخطأ المطلق و الخطأ النسبي في القياس المباشر
  • حساب الخطأ المطلق و الخطأ النسبي في القياس غير المباشر
  • الكميات الفيزيائية القياسية و المتجهة
  • جمع المتجهات 
  • تحليل المتجهات
  • ضرب المتجهات

فيزياء الصف الأول الثانوي الفصل الدراسي الثاني
فيزياء الصف الأول الثانوي
الانضمام عند الدفع المالي

فيزياء الصف الأول الثانوي الفصل الدراسي الثاني

  • الفصل الثالث : القوة و الحركة ( كمية التحرك - قانون نيوتن الثاني )

فيزياء الصف الثاني الثانوي الفصل الدراسي الأول
فيزياء الصف الثاني الثانوي
الانضمام عند الدفع المالي

  • الحركة الإهتزازية و حركة البندول البسيط
  • مفاهيم الحركة الإهتزازية و العلاقة بين التردد و الزمن الدوري
  • الإزاحة و العجلة و قوة الشد في البندول البسيط
  • الموجات الميكانيكية المستعرضة
  • الموجات الميكانيكية الطولية
  • الموجات الكهرومغناطيسية و قانون انتشار الموجات
  • انتشار و انعكاس الضوء
  • انكسار الضوء
  • تداخل و حيود الضوء
  • الانعكاس الكلي للضوء

الفصل الأول : التيار الكهربي و قانون أوم و قانونا كيرشوف
فيزياء الصف الثالث الثانوي
الانضمام عند الدفع المالي

الفصل الأول : التيار الكهربي و قانون أوم و قانونا كيرشوف - الوحدة الأولى : الفيزياء الكهربية - فيزياء الصف الثالث الثانوي

الدرس الأول : التيار الكهربي و قانون أوم :

الدرس الثاني : توصيل المقاومات :

  • المحاضرة (٤) : توصيل المقاومات على التوالي و على التوازي :
  • المحاضرة (٥) : حساب المقاومة المكافئة في حالات توصيل المقاومات
  • المحاضرة (٦) : حساب توزيع التيار و الجهد على المقاومات

الدرس الثالث : قانون أوم للدائرة المغلقة :

  • المحاضرة (٧) : قانون أوم للدائرة المغلقة
  • المحاضرة (۸) : حساب قراءة الأميتر و قراءة الفولتميتر
  • المحاضرة (۹) : إضاءة المصابيح و القدرة الكهربية

الدرس الرابع : قانونا كيرشوف :

  • المحاضرة (۱۰) : قانونا كيرشوف
  • المحاضرة (۱۱) : حساب الجهد الكهربي و فرق الجهد بين النقاط في الدائرة الكهربية

الفصل الثاني : التأثير المغناطيسي للتيار الكهربي و أجهزة القياس الكهربي
فيزياء الصف الثالث الثانوي
الانضمام عند الدفع المالي

الفصل الثاني : التأثير المغناطيسي للتيار الكهربي - الفيزياء الكهربية - فيزياء الصف الثالث الثانوي 

فيزياء الصف الثالث الثانوي

 

المجال المغناطيسي الناتج عن مرور التيار الكهربي في موصل :

  • الفيض المغناطيسي و كثافة الفيض المغناطيسي
  • المجال المغناطيسي الناتج عن مرور التيار الكهربي في سلك مستقيم
  • المجال المغناطيسي الناتج عن مرور التيار الكهربي في ملف دائري
  • المجال المغناطيسي الناتج عن مرور التيار الكهربي في ملف حلزوني 

القوة و عزم الإزدواج :

  • القوة المؤثرة على سلك مستقيم يمر به تيار كهربي و موضوع في مجال مغناطيسي
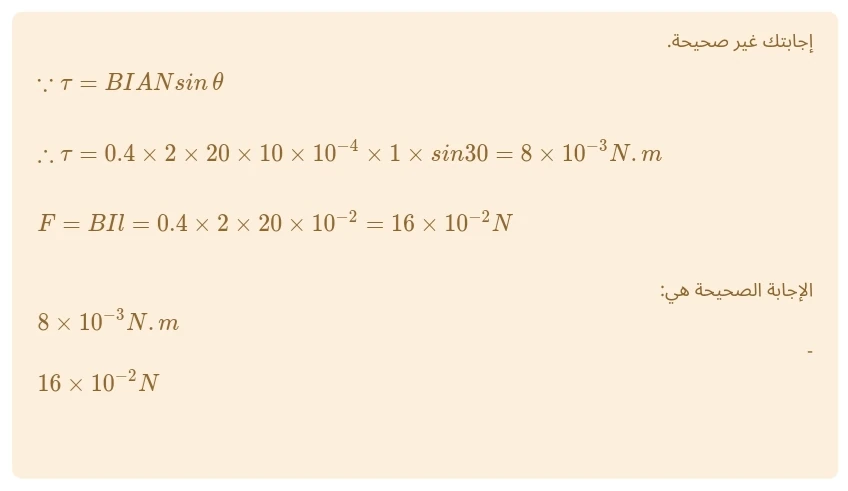
  • عزم الإزدواج المؤثر على ملف يمر به تيار كهربي و موضوع في مجال مغناطيسي

تطبيقات على التأثير المغناطيسي للتيار الكهربي :

  • الجلفانومتر
  • الأميتر
  • الفولتميتر
  • الأوميتر

الفصل الثالث : الحث الكهرومغناطيسي
فيزياء الصف الثالث الثانوي
الانضمام عند الدفع المالي

الفصل الثالث : الحث الكهرومغناطيسي - الفيزياء الكهربية - فيزياء الصف الثالث الثانوي

قانون فاراداي و القوة الدافعة المستحثة المتولدة في السلك المستقيم :

  • قانون فاراداي و قاعدة لنز للحث الكهرومغناطيسي
  • القوة الدافعة الكهربية المستحثة المتولدة في السلك المستقيم
  • التيارات الدوامية

الحث المتبادل بين ملفين و الحث الذاتي لملف :

  • الحث المتبادل بين ملفين
  • الحث الذاتي لملف

المولد الكهربي (الدينامو) :

  • تركيب المولد الكهربي (الدينامو) و فكرة العمل و الأساس العلمي
  • حساب القوة الدافعة الكهربية المستحثة اللحظية المتولدة في ملف الدينامو
  • القوة الدافعة الكهربية المستحثة في المولد الكهربي (الدينامو) خلال دورة كاملة
  • التيار المتردد و القيمة الفعالة للتيار المتردد
  • تقويم التيار المتردد في المولد الكهربي

المحول الكهربي و المحرك الكهربي (الموتور) :

  • المحول الكهربي
  • المحرك الكهربي (الموتور)

الفصل الرابع : دوائر التيار المتردد
فيزياء الصف الثالث الثانوي
الانضمام عند الدفع المالي

الفصل الرابع : دوائر التيار المتردد - الوحدة الأولى : الفيزياء الكهربية - فيزياء الصف الثالث الثانوي :

  • التيار المتردد و الأميتر الحراري
  • دائرة تحتوي على مقاومة أومية (R)
  • دائرة تحتوي على ملف حث عديم المقاومة الأومية (L)
  • دائرة تحتوي على مكثف (C)
  • دائرة تحتوي على مقاومة أومية و ملف حث (RL)
  • دائرة تحتوي على مقاومة أومية و مكثف (RC)
  • دائرة تحتوي على مقاومة أومية و ملف حث و مكثف (RLC)
  • الدائرة المهتزة
  • دائرة الرنين

الوحدة الثانية : الفيزياء الحديثة - فيزياء الصف الثالث الثانوي
فيزياء الصف الثالث الثانوي
الانضمام عند الدفع المالي

الوحدة الثانية : مقدمة في الفيزياء الحديثة - فيزياء الصف الثالث الثانوي :

الفصل الخامس : ازدواجية الموجة و الجسيم :

الفصل السادس : الأطياف الذرية 

الفصل السابع : الليزر

الفصل الثامن : الإلكترونيات الحديثة :

  • بلورة شبه الموصل
  • الوصلة الثنائية
  • الترانزستور
  • الإلكترونيات التناظرية و الرقمية